91抖音
School of Food Science
首 页
91抖音
91抖音概况
91抖音简介
历史沿革
现任领导
历任领导
师资队伍
教授名录
专任教师
教育教学
本科生教育
培养方案
专业简介
研究生教育
培养方案
硕士点简介
专业认证
认证简介
认证文件
认证工作
官网链接
科学研究
科研平台
科研项目
科研成果
社会服务
党建工作
理论学习
支部建设
先锋之路
学生天地
招生就业
招生信息
就业信息
常用下载
教学
科研
行政
91抖音公告
91抖音公告
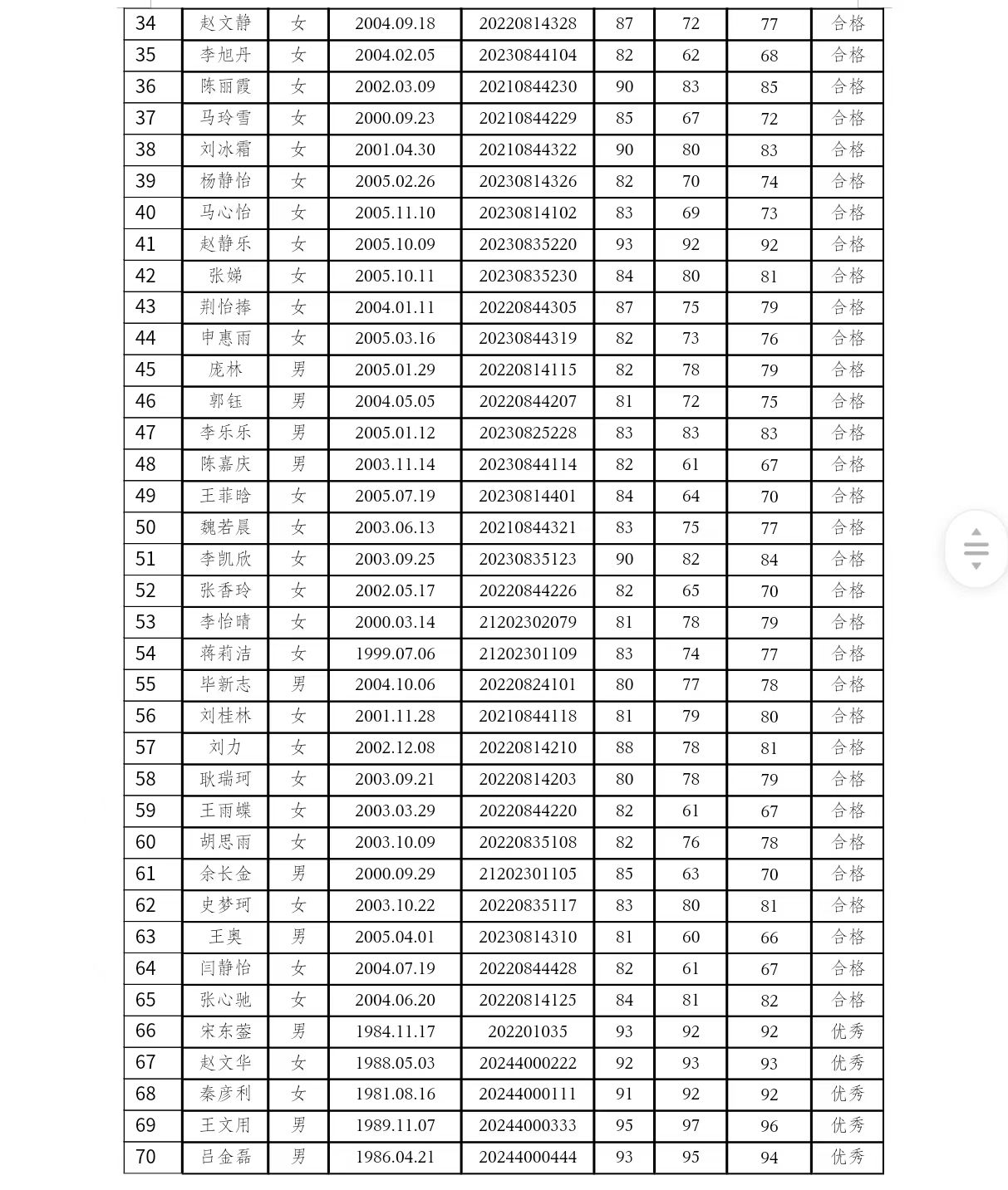
91抖音 党委第58期党的基本知识培训班成绩单
发布日期:2024-04-16
浏览次数:
上一篇:
91抖音 2024年硕士研究生学位论文答辩安排
下一篇:
91抖音 2024年硕士研究生招生调剂拟录取名单(第三批次调剂)
校内链接
党群机构
党委办公室
党委组织部(党校)
党委宣传部(91抖音/精神文明建设办公室)
党委统战部
党委学工部
党委研工部
党委武装部
纪委(监察专员办公室)综合室
工会
团委
行政机构
校长办公室
人事处
教务处
科技处
研究生处
国际交流与合作办公室(港澳台事务办公室)
资产处
审计处
基建处
发展规划处
教师发展中心
教学质量监控中心
学生处
招生就业处
财务处
离退处
后勤服务中心
保卫处
教学院部
生命科技学院
机电学院
动物科技学院
资源与环境学院
化学化工学院
教育科学学院
服装学院
外国语学院
马克思主义学院
国际教育学院
新科学院
经济与管理学院
91抖音
园艺园林学院
信息工程学院(软件学院)
文法学院
数学科学学院
体育学院
人工智能学院
高等职业技术学院
艺术学院
教辅机构
图书馆
学报编辑部
网络与信息化管理中心
实验管理中心
标本馆
档案馆
直属机构
继续教育学院
资产经营管理有限公司
校医院
附属单位
附属子弟小学
常用链接
人事处
教务处
科技处
招生就业处
图书馆
研究生处
91抖音
91抖音 图书馆
91抖音
Copyright© 2021
91抖音-91抖音成人版短视频app下载
All Rights Reserved
技术支持: 三月软件
--常用链接--
教务处网站
食品伙伴网
计算机报名系统
英语等级报名系统
研究生招生信息网
公务员考试
会议室预约
博达网址